Hacienda española embargó casa de Alexis Sánchez en Barcelona
Según la información de un medio catalán, la medida obedece a las deudas tributarias que tiene el delantero chileno.
Según la información de un medio catalán, la medida obedece a las deudas tributarias que tiene el delantero chileno.
Alexis Sánchez sufrió el embargo de la casa que tiene en Barcelona por parte de la Hacienda española, según publicó este viernes el diario Mundo Deportivo, debido a las deudas tributarias que tiene el delantero nacional.
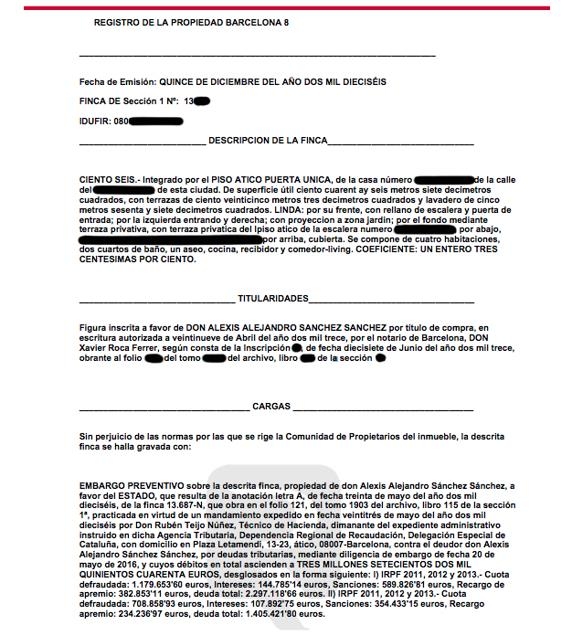
De acuerdo a la información, "el chileno tiene un embargo de 3.702.540 euros, desglosados de la siguiente forma, según consta en el registro de la propiedad. En los ejercicios 2011, 12 y 13 figura una cuota defraudada de 1,179.653,60 euros, unos intereses de 144.785,14 euros, sanciones de 589.826,81 euros, recargo de apremio de 382.853,11 euros, lo que supone una deuda total de 2.297.118,75 euros"
"Por otra parte, también en los mismos ejercicios y en el mismo concepto, el de IRPF, consta una cuota defraudada de 708.858,93 euros, intereses de 107.892,75 euros, sanciones de 354.433,15 euros, recargo de apremio 234.236,97, lo implica una deuda total de 1.405.421,80, que sumados al otro apartado ascienden a los 3,7 millones mencionados", agregó el medio español.
Mundo Deportivo agregó que "es poco habitual que los fútbolistas del nivel de Alexis tengan las propiedades inmobiliarias a su nombre, pero en este caso el chileno sí que tenía su piso en Barcelona. De ahí que Hacienda lo haya tenido más 'fácil' para embargar el domicilio del chileno".
Revisa el documento publicado por Mundo Deportivo:
